Word Lesson: Vectors Non-Right Triangles - Dot Products and Resultants
By M Ransom
- know the relationships among rectangular vector coordinates, polar coordinates, magnitude, and direction
- apply vector diagrams to find resultants and components from given information
- know how to find and use a dot product of two vectors
- use the Pythagorean Theorem
- know how to use the Law of Cosines
- know how to use the Law of Sines
.- A plane traveling at 400 mph is flying with a bearing of 40°. There is a wind of 50 mph from the South. If no correction is made for the wind, what are the final bearing and ground speed of the plane?
First we make a diagram in standard position. The attempted flight path of the plane is vector OX. Notice that the angle shown is 50° because the 40° bearing is measured clockwise from North. The vector XY represents the wind from the South. The vector OY is the resultant path of the plane, affected by the wind. In the diagram shown below, the known magnitude and angle are labeled. It is useful to put such a diagram in “standard position” with North being at the top of the vertical axis. We then measure a bearing clockwise from North to label the measurement of an angle.We need to find vector OY (ground speed) which is the vector sum of OX (air speed) and XY (wind speed). One way to do this is to add the components of OX and XY and find the magnitude and direction of OY, their resultant..We have the following :The chart given above could also have been written as:We find the magnitude of OY, the plane’s ground speed, using the Pythagorean Theorem:OY
=
The angle this vector makes with the horizontal axis in the diagram can be found as follows:The plane has been pushed (54.194° - 50º) = 4.194º off its attempted path if no corrections are made for the wind. The plane's new bearing is90° – 54.194° = 35.806°
The final bearing and ground speed of the plane are 35.806° at 439.479 mph.
- We now look at a related problem, but from a different perspective. Suppose a plane can fly at 400 mph and there is a 50 mph wind from the South. In order to land at the correct airport, the plane must travel at a bearing of 40°. What should be the direction (bearing) of the plane to compensate for the wind in order to have the desired final bearing of 40°? What is the ground speed of the plane?
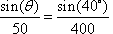
We first make a vector diagram in standard position.The angle made by vector OY with the horizontal axis is 50° because bearings are measured clockwise from North. The new bearing is the direction the plane should take in order to allow the wind to push it upward to the desired 40° bearing, which is the angle made by vector OY with the vertical (North) axis.We do not know the angle formed by the vector OX and the horizontal axis, labeled as (50º - θ) in our diagram.In our diagram, we labeled angle YOX as angle θ. Using triangle YOX, we can apply the Law of Sines as follows:
The plane must therefore aim 4.6° East of the desired 40° bearing, or at a new bearing of(40º + θ) = 44.6°To find the magnitude of vector OY, we must first know the measure of the angle opposite OY in the triangle OXY. To do this, we will start with the fact that the sum of the angles in triangle equals 180º. Note that angle b = 40º due to vertical angles being equal.ÐOXY = 180° - b - θ = 180 - 40° - 4.6° = 135.4°We will now use the Law of Sines once again to find the magnitude of the vector OY.
Remember that when working vector problems that involve currents the vector equation is:
air speed + wind speed = ground speed
OX + XY = OY
In order to reach its desired destination, our plane will fly with
an air speed of 400 mph on a bearing of 44.6º.
His resultant ground speed will be 436.9 mph at a bearing of 40º.
Now that we can determine the components of the vectors OY and OX we can use their dot product to check our calculations and verify that the angle YOX (θ in our diagrams) is 4.6º.OY = (436.9cos(50°), 436.9sin(50°)) = (280.8, 334.7)
OX = (400cos(45.4°), 400sin(45.4°)) = (280.9, 284.8)Recall that in general, if v = (v1, v2) and u = (u1, u2), are two vectors, their dot product can be expressed as either
Applying the second formula to our situation results in the formulaSince this is a cumbersome calculation, you should use a calculator. Entering this into a calculator is shown in the screen below.The result is cos(θ)0.9967788785. This gives θ
4.6°.
In some situations, the Laws of Sines and Cosines work very well. In other situations, it might be necessary to first calculate the vector dot product.
Directions and/or Common Information:
No audio files were recorded for this set of examples..A plane travels at 450 mph with a bearing of 70°. If there is a 100 mph wind from the South, what are the new bearing and ground speed of the plane if no corrections are made for the wind?
A circle has a diameter with endpoints (x1 , y1) and (x2 , y2). Using a vector dot product, show that (x – x1)(x – x2) + (y – y1)(y – y2) = 0 is an equation of this circle.
Directions and/or Common Information:
No audio files were recorded for this set of examples..Find an equation of the circle which has a diameter with endpoints (5, 1) and (– 3, 2).
- (x – 1)2 + (y – 3/2)2 = 65
- (x – 5)(x – 3) + (y – 1)(y – 2) = 0
- (x – 5)(x + 3) + (y – 1)(y – 2) = 0
Two planes take off from the same airport at the same time. One plane has an air speed of 500 mph and a bearing of 280°, and one plane has an air speed of 600 mph and a bearing of 35°. After 2 hours, how far apart are the planes?
- 929.29 miles
- 1194.03 miles
- 1858.57 miles
A plane which can fly at 400 mph desires to travel at a bearing of 340° but he must contend with a 40 mph wind from the West. What bearing should the plane take to compensate for the wind?
- 5.4º
- 334.6º
- 345.4º
As you can see, these types of problems require a diagram of a carefully labeled triangle. The measurements of the sides and angles should be labeled based on the information given and should be thought of as vectors. Remember that their vector properties can often provide a means of calculating missing measurements.





OY
= 










v
and
u
represent the 
