Trigonometry: Oblique Triangles - Law of Cosines
By K Dodd, M Dionne
To “solve the triangle” means to find all angle and side lengths. You must have enough information to define a unique triangle. This will take us back to investigating what information was needed to prove triangle congruencies in Geometry.
1. AAS 2. SSS 3. SAS
2 angles & non-included side
all three sides
two sides & included angle
4. ASA 5. SSA
2 angles & included side
2 sides & non-included angle
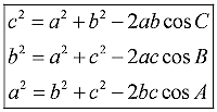
In a previous lesson, it was shown that the Law of Sines, could be used to solve triangles in cases 1, 4, and 5. The Law of Cosines will be used for the remaining two cases: SSS and SAS.
To calculate side or angle lengths of right triangles, you can set up a trigonometric ratio using sine, cosine, or tangent. We also know that the Pythagorean Theorem can be used to calculate the third side of a right triangle when the other two sides are known.
Assuming that “c” is the hypotenuse of a right triangle,
the Pythagorean Theorem is as follows:
However, if the triangle does not include a right angle, these basic trigonometric ratios do not apply. Triangles that do not have a right angle are called oblique triangles. Although the basic trig ratios do not apply, they can be modified to cover oblique triangles. In this lesson you will discover how to use the cosine function with oblique triangles.
Solving for angle A: ![]()
Once all three sides of a triangle are known, Heron's area formula can be used to calculate its area.Area =where
Let's practice solving some triangles!
Given triangle ABC with sides: a = 8, b = 3, c = 9.
Find the measures of the three missing angles.
Find the measures of the three missing angles.
Given triangle ABC with sides: a = 10, b = 4.5, C = 105º.
Find the measures of the two missing angles and the third side.
Find the measures of the two missing angles and the third side.
Find area of triangle JKL given: j = 31, k = 52, l = 28.










