Introductory Calculus: Factoring, Slope, and Graphing
By M Ransom
FACTORING: Factoring is the “undoing” of multiplication, putting an expression into terms which are multiplied. For example, we know that 6x(x3 – 7) = 6x4 – 42x. - The expression 6x4 – 42x factors into two terms which are multiplied: 6x•(x3 – 7)
- The difference of two squares such as x2- 49 factors into (x+7)•(x-7)
- Sometimes trinomials factor very nicely:
(2x2 - x - 6) = (2x + 3)•(x - 2)
Sometimes they do not. The trinomial x2 + x + 1 defies a simple factoring.
x2 - a2
4x2 - 9y2
x4 - 16
x2 + 4
x2 - 5x + 6
a2 + 8a - 20
x2 + 3x - 5
3x2 - 13x - 10
SLOPE: The slope of a line connecting two points is a ratio of the “rise” to the “run,” which is a ratio of the vertical distance between the points to the horizontal distance between the two points. - A line passing through the points (2, 5) and (– 3, 1) has a slope of

- Since this is a positive number, the line will appear to slope upwards to the right when graphed.
What is the slope of the line through points (1, –2) and (3, 4)?
What is the slope of the line through points
and
?
A line has slope 4. It passes (1, 3) and (x, 7) what is x?
A line has slope ¾. It passes through points (5, y) and (4, -3). What is y?
- We will use the TI 83/84 family calculator extensively during this course. To graph a line with slope –2 and y–intercept (0, 3) we note that the equation for this line is y=-2x + 3 and enter this as Y1 in the calculator. It is actually faster to sketch this by hand without the calculator. The Y= screen, the WINDOW, and the graph are shown below.
- Some functions are defined in separate pieces and are called “piece-wise defined” functions. If the line shown above is only valid for x > –1 and the remainder of the function is defined by y = 4 - x2 we have the following definition and graph of this function:
![]() | ![]() |
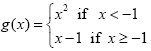
Graph the following piecewise-defined function on the axes below. Label accurately and completely.
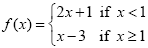
Graph the following piecewise-defined function on the axes below. Label accurately and completely.





